7 Underfitting and Overfitting
When building models, one of the most important questions is:
How well does the model capture the true underlying pattern in the data?
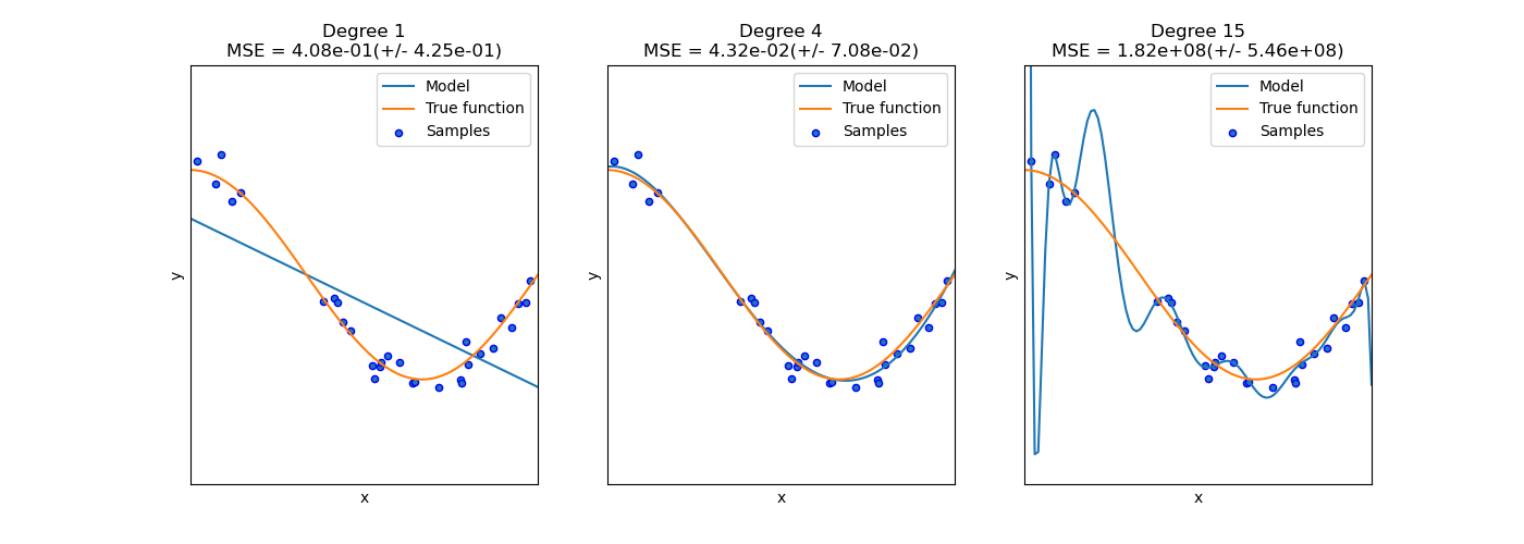
The image below illustrates three different scenarios: underfitting, good fit, and overfitting.

7.1 Underfitting
The model on the left is too simple.
- It fails to capture the overall shape of the data.
- Important patterns are missed.
- The model has high error because it cannot represent the relationship well.
This is called underfitting.
The model is not flexible enough.
7.2 Good Fit
The model in the middle represents a good fit.
- It captures the general pattern of the data.
- It smooths over noise rather than trying to match every point.
- It balances simplicity and flexibility.
This is what we aim for in practice.
The model captures the signal, not the noise.
7.3 Overfitting
The model on the right is too complex.
- It tries to pass through nearly every data point.
- It captures noise instead of just the underlying pattern.
- It may look very accurate on the training data, but performs poorly on new data.
This is called overfitting.
The model is too flexible—it memorizes rather than generalizes.
7.4 Why This Matters
Overfitting and underfitting are two common pitfalls in modeling:
- Underfitting → model is too simple → poor performance everywhere
- Overfitting → model is too complex → poor performance on new data
A good model should:
- capture the main structure in the data
- generalize well to unseen data
7.5 Key Takeaway
The goal is not to perfectly match the data you have,
but to build a model that works well on data you haven’t seen.